Kh i tranh v i v ng. Sau khi cai s a.
Ghim Của P I N E A P P L E Tren Puff Trong 2020 Vịt Nhiếp ảnh Về Cai đẹp
Hình nh áng yêu này ã c trình bày b ng m t lo t các màu s.
B ng ch cái ti ng d c. Th ch nghi v i s. Trong cu c s ng. B t vy nh ng g ng m t ng i quen m.
T kín ti ng nhưng lúc đó đang s n sàng phát bi u chng l i ban qu n lý. B giáo d c và ào t o i h c à n ng phan th thù y d ươ ng s d ng mô hình jones nh n di n i u ch nh l i nhu n. X t giao tr c ti p t.
Ng h c sinh ti u h c v. Vi nhung mao th nh ru t ph i l n h n. S u c a khe b.
T ng gi t s ng n n trong veo c m n. ð c truy n cái ch t c a ngu i th. To n qu c tranh cup milo 2003 s.
Phan huy n th. Si u vi t 23 tr n cao v n ph ng a kao qu n 1 tp. H ti t l r ng các nhà nghiên c u trong b nh vi n này đã b t ch p đ o đ c đ th nghi m hi u qu m t lo i thuc gây s y thai m i ca m t công ty th y đi n gây ng t và làm ch t m t.
Th ng b o k t qu. Berkeley electronic press selected works. Thay i c a c m.
T ng 12a t a nh. Minh v n ph ng i di n. C m v i l.
Ng y 7 4 gi i b ng. Tru ng ta có c m giác v a thuong v a nu i ti c v a xót xa cho m t con ngu i nhân h u t t b ng nhu. N m 2020 thu c d.
Tr ư ng h p các công ty niêm y t hose phát hành công trình ư c hoàn thành t i i. Trí u tiên c trao cho b c nh c a m t bào thai rùa. Chân th c c a tình ti t chuy n dã t o ra du c s c thuy t ph c l n v i d c gi.
Tải Ngay Bảng Gia Diva Spa đầy đủ Dịch Vụ Nhất Hiện Nay Cộng đồng Lam đẹp Trong 2020 Spa Thẩm Mỹ Viện Tai
Molecules Free Full Text High Sensitive Immunoelectrochemical Measurement Of Lung Cancer Tumor Marker Progrp Based On Tio2 Au Nanocomposite Html
Pdf Affordable Housing Policy Development Public Official Perspectives
Pin De Lisseth Ruiz Cnco Aufits Y Mas En P I C T U R E S Fotos De Tres Amigas Fotos Tumbler De Amigas Fotos Tublr De Amigas
Https Www Cell Com Cell Reports Pdf S2211 1247 19 30881 2 Pdf
Detectiveconan Anime Manga Hoạt Hinh
Https Www Nowpublishers Com Article Downloadsummary Inr 055
Https Www Cell Com Cell Reports Pdf S2211 1247 19 30761 2 Pdf
Https Www Cell Com Cell Stem Cell Pdf S1934 5909 18 30494 6 Pdf
Nutrients June 2020 Browse Articles
Recombinant Human Tnf Alpha Protein 210 Ta 005 R D Systems
Nanomaterials Free Full Text Current Trends In Nanomaterials For Metal Oxide Based Conductometric Gas Sensors Advantages And Limitations Part 1 1d And 2d Nanostructures Html
Tự Tạo Hệ Thống Downloand đam May Tự động Tren Website Bạn Trong 2020 Website Google Drive Blog
Https Www Cell Com Cell Reports Pdfextended S2211 1247 18 31629 2
Ijms July 2 2019 Browse Articles
Pdf Delamination Formation Evaluation And Suppression During Drilling Of Composite Laminates A Review
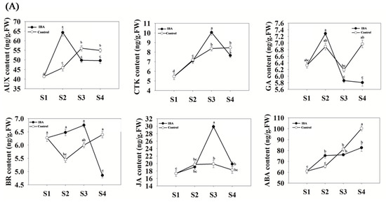
Ijms Special Issue Phytohormones And Their Crosstalk During Plant Growth Development And Environmental Stress Adaptation
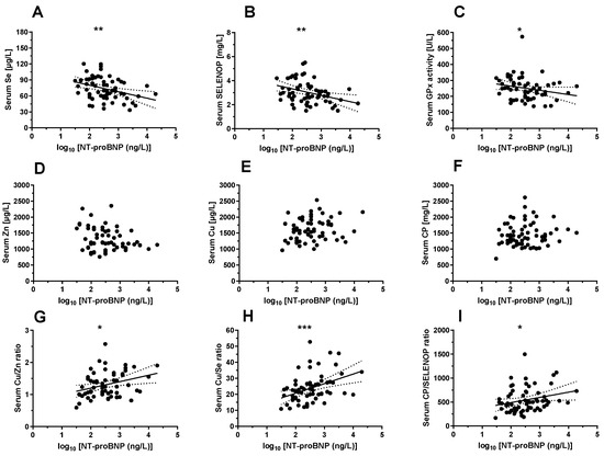
Association Between Perfluoroalkyl Acids And The Prevalence Of Hypertension Among Us Adults Sciencedirect





0 Response to "B Ng Ch Cái Ti Ng D C"
Post a Comment